How do VCs estimate their return on investment? There have been various studies which have produced varying results due to the different nature of VCs in terms of location, industry focus, fund size, preferred financing stage and team experience. In this post, I have developed a quick, simple, one staged model that determines the minimum required Fund’s return on a single investment, assuming one round of investment with no dilution until exit.
A. Definitions

B. IRR calculations

Therefore:

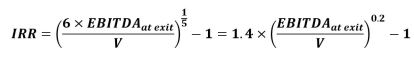
Assuming a reasonable exit period of 5 years, an EV/EBITDA exit multiple of 6 and an EBITDA margin of the portfolio company at exit of 40% we get:

This means that in order for a VC fund to gain a positive IRR this analysis shows that EBITDA at exit must be at least 17% of the post-money valuation at the time of the initial investment. For a reasonable IRR of 25%, EBITDA must be ~50% of the post-money valuation at the time of initial investment. This relationship is presented in the graph below:
